导读:在电动汽车快速发展的背景下,如何通过有序的充电调度,在保障用户充电满意 度的同时提升充电站的运营效益,已成为亟需解决的关键问题。现有离线充电调度算法在实 际应用中受到预测算法准确性的影响;而在线算法则普遍存在计算复杂度高、数据传输量大 或环境适应性不足等缺陷。为在无需预知未来车辆到达信息和充电需求的情况下,实现运充 电站收益与用户满意度之间的有效权衡,本文首先提出一种实时集中式调度算法OC2SA, 然后设计了一种分层调度架构,并在此基础上提出在线分层调度算法OHCSA,为电动汽车 的实时充电调度提供了高效可行的技术路径。
一、研究背景与核心挑战
现有离线调度算法高度依赖对未来电动汽车充电行为的预测,实际应用中受限于预测精 度且行为数据获取困难,实用性较低;而主流在线算法通常需同时优化多个时间段的决策变 量,造成变量间强耦合、求解复杂度高、计算开销大等问题。此外,部分在线方法存在通信 负担重的缺陷,在数据隐私保护和系统可扩展性方面存在明显不足。因此,亟需在无法预知 电动汽车到达时间与充电需求的现实条件下,设计一种高效、轻量且隐私友好的在线调度机 制,以实现充电站运营收益最大化与用户不满意度最小化之间的有效平衡。

图1 系统模型
二、理论创新
1 引入“最短可能剩余时间”指标,用于量化每辆电动汽车完成充电所需的最短时间,动态刻画其充电紧迫性。
定义1(最短可能剩余时间):EV i在时隙的最短可能剩余时间δm,i(t)为其在离开充电站之前完全充电所需的剩余充电时间,即

其中dm,i(t)为在充电站中的EV i在时隙时的剩余充电请求,rm,i为额定充电功率。
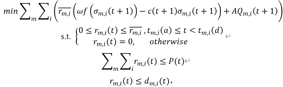
2 在线优化目标函数中引入虚拟队列模型,持续跟踪尚未满足的充电需求,确保所有车辆在离场前顺利完成充电。具体的在线优化的目标函数如下:

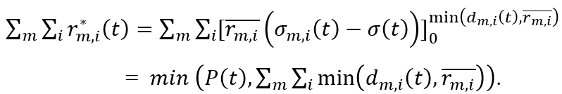
其中f是任意一个二阶连续可微、严格凸且单调递增的函数,c(t+1)是时隙t+1的电价,rm,i(t)是充电站中EV i在时隙t的充电功率,P(t)是电网容量限制,Qm,i(t)为虚拟队列,A为惩罚系数。然后借助KKT条件,可获得如下两个命题,
命题1:设函数f二阶连续可微、严格凸且单调递增,则上述问题的解具有如下表达式:

命题2:在时隙t,变量δ(t)可根据以下方程确定一个唯一解

在求解δ(t)后,可根据定义2确定充电顺序;然后依据最短可能剩余时间优先(SPRTF)原则,可进一步求得最优的充电功率。
定义2(最短剩余时间优先SPRTF):对于在时隙t的EV p和q,如果q的剩余时间更长,即δm,p(t)⪯δm,q(t),则称 p⪯q(EV q优先于p)。
3 针对小规模电动汽车的充电场景,设计在线集中式充电调度算法(OC2SA);针对较大规模的场景,设计在线分层充电调度算法(OHCSA)。


三、仿真模拟
研究团队选取四个充电站作为实验场景,结合英国电动汽车充电数据集(包含车辆到达与离开时间、能量需求)以及澳大利亚电价数据,设定单位时隙为1小时。仿真结果表明算法在充电收益与用户满意度之间实现了良好的平衡。
图2展示了在不同电动汽车数量下各算法的充电收益对比情况。当电动汽车数量为600辆时,OC2SA与OHCSA的收益差异较小;但随着车辆数增加,二者差距逐步扩大,表明OHCSA在提升充电收益方面表现更优。此外,OHCSA在系统可扩展性、收益方面亦展现出更强的适应能力。

图2 不同算法的充电利润对比
基于1200辆车的实验数据,图3和图4分别展示了各算法在充电满意度方面的表现,具体体现在平均充电时间的累积分布和违约率的累积分布上。从图3的累积分布曲线可以看出,OHCSA算法的平均充电时间最短,仅为3.82小时,显著优于其他对比算法。违约率定义为用户离开时未满足的能源需求与初始所需能源之比;由图4可知,只有OHCSA算法能够将平均违约率控制在32%以下,表现出更强的服务保障能力。

图3 充电时间累积分布的对比

图4 违约率累积分布的对比
表1和表2分别给出了OC2SA与OHCSA在传输速率及计算时间的比较。表1显示,OHCSA在传输速率方面相较于OC2SA有明显下降,且随着电动汽车数量的增加,传输速率的降低更为显著。表2表明,由于采用集中式架构,SLLFA与OC2SA的计算耗时表现相近;而随着电动汽车数量的增加,OHCSA相较于SLLFA与OC2SA获得了显著降低。

四、实用价值
该在线调度方法在保障充电站运营收益的同时,兼顾用户充电满意度,有效平衡双方利益,避免过度偏向任何一方。其中,OC2SA算法采用集中式架构,适用于电动汽车规模较小的充电场景;而OHCSA算法采用分层式架构,具备更强的可扩展性,更适合大规模电动汽车接入的复杂环境。
本研究由东北大学秦皇岛分校控制工程学院蔡凌、东北大学郭戈教授团队主导,并与北京理工大学自动化学院和华北电力大学新能源电力系统国家重点实验室的科研人员合作完成。相关工作已经被车辆技术研究领域公认的国际权威期刊之一《IEEE Transactions on Vehicular Technology》正式录用,即将长文发表。
论文信息:Ling Cai, Ge Guo, Lengandong Shi, and Miaomiao Ma. Online Coordination of Electric Vehicle Charging for Balanced Operating Profit and User Dissatisfaction. Accepted for publication in the IEEE Transactions on Vehicular Technology.